Series Connection
(Series connection of two two-port networks N a and N b)
For network N b,
The condition for series connection is
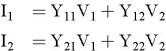
Putting the values of V 1a and V 1b from Equation (10.62) and Equation (10.64),
Putting the values of V 2a and V 2b from Equation (10.63) and Equation (10.65) into Equation (10.67), we get
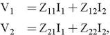
The Z-parameters of the series-connected combined network can be written as
Parallel Connection
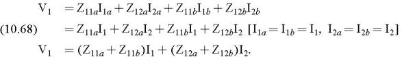
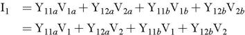
(Parallel connection of two two-port networks N a and N b)For network N a,
For network N b,
Now the condition for paralel,
The Y-parameters of the parallel connected combined network can be written as
